A nominee shareholder arrangement can be a valuable tool for businesses seeking to maintain control, protect privacy, or facilitate investment. However, it’s crucial to formalize this relationship with a legally sound document. This is where a Nominee Shareholder Agreement Template becomes essential. It outlines the rights, responsibilities, and obligations of both the beneficial owner and the nominee shareholder, preventing potential disputes and ensuring clarity. Without a properly drafted agreement, the arrangement can be vulnerable to legal challenges and unintended consequences. This article will delve into the intricacies of nominee shareholder agreements, providing a comprehensive guide to understanding their purpose, key provisions, and how to utilize a template effectively.
Nominee shareholder structures are often employed when the true owner of shares wishes to remain anonymous, perhaps due to competitive reasons or personal preference. They are also common in situations where foreign investors face restrictions on direct ownership of local companies. The nominee simply holds the shares on behalf of the beneficial owner, acting on their instructions. This arrangement requires a high degree of trust, and a well-defined agreement is paramount to safeguarding the interests of all parties involved.

The agreement isn’t just about share ownership; it’s about control, voting rights, dividend distribution, and what happens if the relationship sours. A robust Nominee Shareholder Agreement Template will address these critical aspects, providing a framework for a smooth and legally compliant arrangement. Ignoring the need for a formal agreement can lead to significant legal and financial risks.

Finally, understanding the legal implications within your specific jurisdiction is vital. While a template provides a solid starting point, it should always be reviewed and adapted by a qualified legal professional to ensure it complies with local laws and regulations.

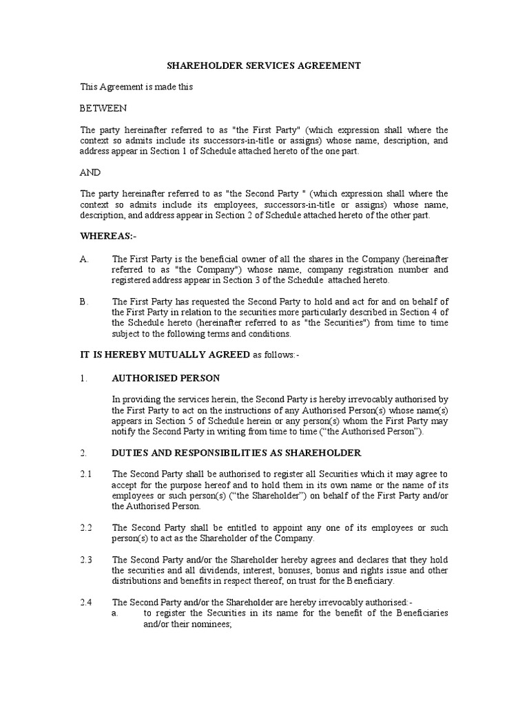
A nominee shareholder agreement is a legally binding contract between the beneficial owner of shares and the nominee shareholder. The beneficial owner is the individual or entity who ultimately owns and controls the shares, even though the shares are registered in the name of the nominee shareholder. The nominee acts as a custodian, holding the shares on behalf of the beneficial owner and exercising voting rights and other shareholder rights as directed by the beneficial owner.

There are several reasons why businesses and individuals might choose to utilize a nominee shareholder arrangement. These include:

A comprehensive Nominee Shareholder Agreement Template should include several key provisions to protect the interests of both parties. These provisions define the scope of the arrangement and address potential issues that may arise.

This section clearly outlines how voting rights will be exercised. Typically, the nominee shareholder will be obligated to vote the shares as directed by the beneficial owner. The agreement should specify the method for providing instructions (e.g., written notice, email) and the timeframe for doing so. It should also address scenarios where the beneficial owner fails to provide instructions.
The agreement must specify how dividends received on the shares will be distributed. Generally, all dividends will be passed on to the beneficial owner, but the agreement should clearly state this obligation and the method of distribution.

A strong confidentiality clause is essential to protect the identity of the beneficial owner. The nominee shareholder should be prohibited from disclosing the beneficial owner’s identity to any third party without their consent.

This provision protects the nominee shareholder from liability arising from their role as nominee, provided they act in good faith and in accordance with the agreement. The beneficial owner typically agrees to indemnify the nominee shareholder against any losses, damages, or expenses incurred.
The agreement should outline the circumstances under which the arrangement can be terminated. This may include a specified term, mutual agreement, or breach of contract. The process for transferring the shares back to the beneficial owner upon termination should also be clearly defined.
A clear dispute resolution mechanism, such as mediation or arbitration, should be included to avoid costly and time-consuming litigation.
While a Nominee Shareholder Agreement Template provides a valuable starting point, it’s crucial to use it correctly.
Select a template that is appropriate for your specific circumstances. Consider the jurisdiction, the type of shares involved, and the complexity of the arrangement. There are many templates available online, but ensure the source is reputable.
Never use a template “as is.” It must be customized to reflect the specific details of your arrangement. This includes the names of the parties, the number of shares involved, and any specific instructions regarding voting rights or dividend distribution.
Crucially, have the agreement reviewed by a qualified legal professional. They can ensure that it complies with local laws and regulations and that it adequately protects your interests. A lawyer can also identify potential risks and suggest modifications to the agreement.
Thoroughly vet the nominee shareholder before entering into the agreement. Ensure they are trustworthy and financially stable. Consider conducting background checks and obtaining references.
Nominee shareholder arrangements are not without risks.
Ensure the arrangement complies with all applicable laws and regulations, including securities laws, tax laws, and anti-money laundering regulations.
Be aware of any disclosure requirements that may apply. In some jurisdictions, you may be required to disclose the beneficial owner of the shares to regulatory authorities.
The nominee shareholder has a fiduciary duty to act in the best interests of the beneficial owner. A breach of this duty could lead to legal action.
Understand the tax implications of the arrangement for both the beneficial owner and the nominee shareholder. Seek professional tax advice.
The legal and regulatory landscape surrounding nominee shareholder arrangements varies significantly from jurisdiction to jurisdiction. What is permissible in one country may be prohibited in another. It’s essential to consult with legal counsel who is familiar with the laws of the relevant jurisdiction. For example, some jurisdictions require full disclosure of beneficial ownership, while others have stricter regulations regarding nominee arrangements.
A Nominee Shareholder Agreement Template is a vital tool for establishing a clear and legally sound relationship between a beneficial owner and a nominee shareholder. By carefully considering the essential provisions, customizing the template to your specific needs, and seeking legal review, you can mitigate the risks associated with this arrangement and ensure that it achieves its intended purpose. Remember that this is not a one-size-fits-all solution, and professional legal advice is paramount to ensure compliance and protect your interests. Ignoring the importance of a well-drafted agreement can lead to significant legal and financial consequences. Prioritizing clarity, transparency, and legal compliance will pave the way for a successful and sustainable nominee shareholder arrangement.